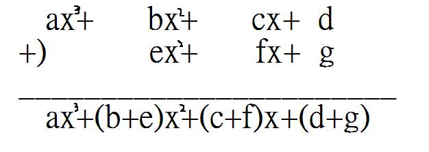
¦h¶µ¦¡ªº¥[´î
¦P¦¸¤èªº«Y¼Æ¬Û¥[
ļ
¨Ò¡G(ax
3
+bx
2
+cx+d)+(ex
2
+fx+g)=ax
3
+(b+e)x
2
+(c+f)x+(d+g)
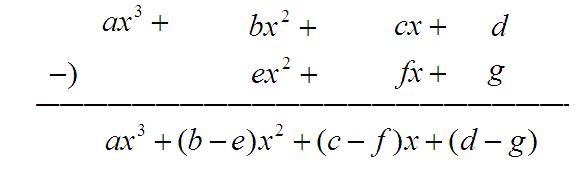
¦P¦¸¤èªº«Y¼Æ¬Û´î
ƒ¼
(ax
3
+bx
2
+cx+d)-(ex
2
+fx+g)=ax
3
+(b-e)x
2
+(c-f)x+(d-g)