系級:  學號:  姓名:  Email:


數學與電腦科目_數學主題測驗20試題

選擇題共20題


第1題答案: (A)    (B)    (C)    (D)    (E)


第2題答案: (A)    (B)    (C)    (D)    (E)


第3題答案: (A)    (B)    (C)    (D)    (E)


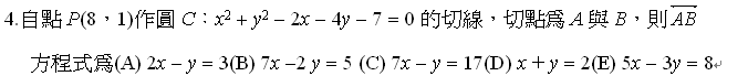
第4題答案: (A)    (B)    (C)    (D)    (E)


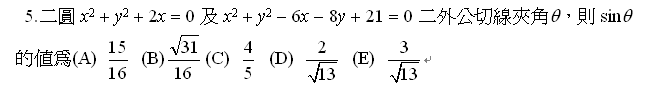
第5題答案: (A)    (B)    (C)    (D)    (E)


第6題答案: (A)    (B)    (C)    (D)    (E)


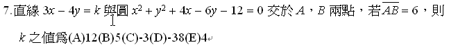
第7題答案: (A)    (B)    (C)    (D)    (E)


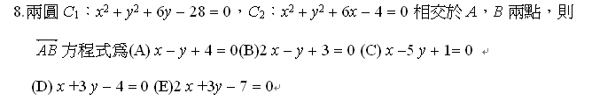
第8題答案: (A)    (B)    (C)    (D)    (E)


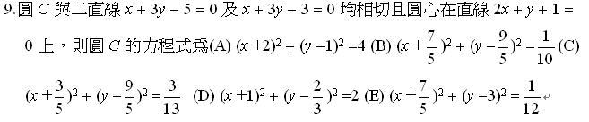
第9題答案: (A)    (B)    (C)    (D)    (E


第10題答案: (A)    (B)    (C)    (D)    (E)


第11題答案: (A)    (B)    (C)    (D)    (E)


第12題答案: (A)    (B)    (C)    (D)    (E)


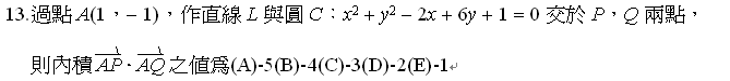
第13題答案: (A)    (B)    (C)    (D)    (E)


第14題答案: (A)    (B)    (C)    (D)    (E)


第15題答案: (A)    (B)    (C)    (D)    (E)


第16題答案: (A)    (B)    (C)    (D)    (E)


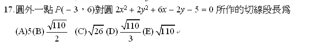
第17題答案: (A)    (B)    (C)    (D)    (E)


第18題答案: (A)    (B)    (C)    (D)    (E)


第19題答案: (A)    (B)    (C)    (D)    (E)


第20題答案: (A)    (B)    (C)    (D)    (E)